python之链表的反转方式
python链表的反转
反转链表
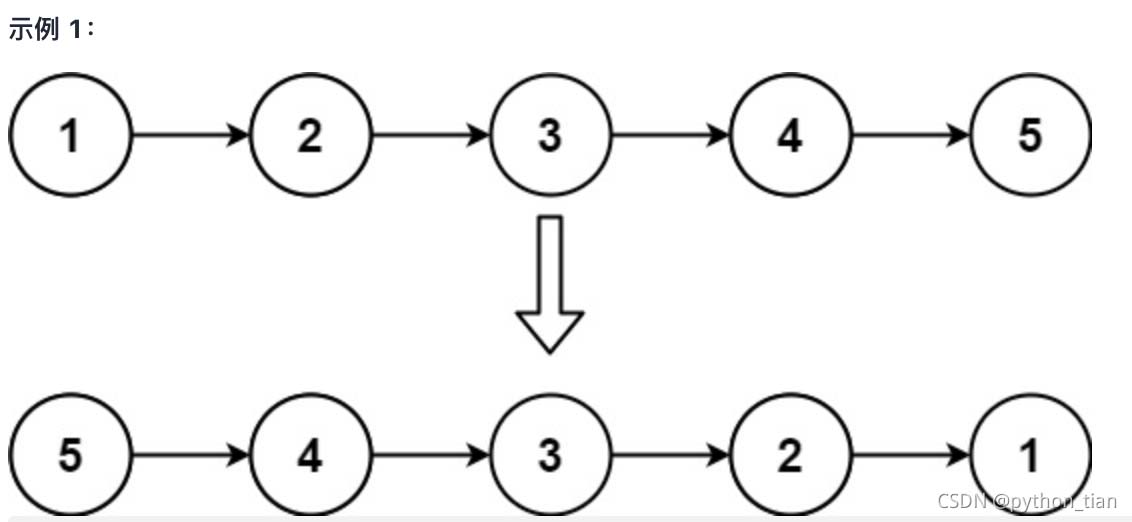
给你单链表的头节点 head ,请你反转链表,并返回反转后的链表。

- 输入:head = [1,2,3,4,5]
- 输出:[5,4,3,2,1]

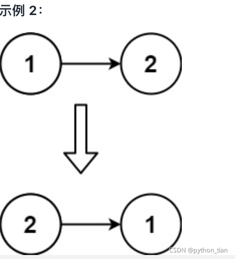
- 输入:head = [1,2]
- 输出:[2,1]
示例 3:
- 输入:head = []
- 输出:[]
题解
# Definition for singly-linked list.
# class ListNode:
# def __init__(self, val=0, next=None):
# self.val = val
# self.next = next
class Solution:
"""
解题思路:
1.新建一个头指针
2.遍历head链表,依次在新的头节点位置插入,达到反转的效果
"""
def reverseList(self, head: ListNode) -> ListNode:
# 循环
new_head = None
while head:
per = head.next # pre 为后置节点,及当前节点的下一个节点
head.next = new_head # 插入头节点元素
new_head = head # 把串起来的链表赋值给头指针
head = per # 向后移一个单位
return new_head # 返回一个新的链表
python反转链表相关技巧
给定一个单链表的头结点pHead(该头节点是有值的,比如在下图,它的val是1),长度为n,反转该链表后,返回新链表的表头。
要求:空间复杂度 O(1)O(1) ,时间复杂度 O(n)O(n) 。

输入:
{1,2,3}
返回值:
{3,2,1}
先来看最基本的反转链表代码:
# -*- coding:utf-8 -*-
# class ListNode:
# def __init__(self, x):
# self.val = x
# self.next = None
class Solution:
# 返回ListNode
def ReverseList(self, pHead):
# write code here
cur = pHead
pre = None
while cur:
nextNode = cur.next
cur.next = pre
pre = cur
cur = nextNode
return pre关键公式
抓住几个关键点:
- cur:原链表的头节点,在反转结束时,cur指向pre的下一个节点
- pre:原链表的尾节点,也就是反转后链表的头节点。最终返回的是pre。
- while cur:表示反转循环的条件,这里是判断cur是否为空。也可以根据题目的条件改成其他循环条件
- 反转链表的尾节点,这里的尾节点是None,后面会提到显式指定。
对于反转链表的问题,抓住原链表的头节点、原链表的尾节点、反转循环条件、反转链表的尾节点这几个主要角色,基本没什么问题。
接下来,举两个例子:
链表内指定区间反转
链表中的节点每k个一组翻转
链表内指定区间反转
将一个节点数为 size 链表 m 位置到 n 位置之间的区间反转,要求时间复杂度 O(n),空间复杂度 O(1)。
要求:时间复杂度 O(n) ,空间复杂度 O(n)
进阶:时间复杂度 O(n),空间复杂度 O(1)
输入:
{1,2,3,4,5},2,4
返回值:
{1,4,3,2,5}
套用公式
这道题目和baseline的区别是,是将对整个链表的反转改成链表 m 位置到 n 位置之间的区间反转,来套一下公式:
- 原链表的头节点:cur:从head出发,再走m-1步,到达cur
- 原链表的尾节点:pre:cur前面的节点
- 反转循环条件:for i in range(n,m)
- 反转链表的尾节点:需要保存下从head出发,再走m-1步,到达cur时,此时pre的位置 prePos。prePos.next是反转链表的尾节点
和前面的比,需要额外注意下:
- 需要保存下从head出发,再走m-1步,到达cur时,此时pre的位置 prePos。在反转循环结束后,再进行穿针引线
- 由于不是对整个链表进行反转,最好新建虚拟头节点dummpyNode,dummpyNode.next指向整个链表

代码实现
先看下套公式部分的代码:
# 找到pre和cur
i = 1
while i<m:
pre = cur
cur = cur.next
i = i+1
# 在指定区间内反转
preHead = pre
while i<=n:
nextNode = cur.next
cur.next = pre
pre = cur
cur = nextNode
i = i+1
穿针引线部分代码:
nextNode = preHead.next
preHead.next = pre
if nextNode:
nextNode.next = cur
完整代码:
class ListNode:
def __init__(self, x):
self.val = x
self.next = None
class Solution:
def reverseBetween(self , head , m , n ):
# write code here
dummpyNode = ListNode(-1)
dummpyNode.next = head
pre = dummpyNode
cur = head
i = 1
while i<m:
pre = cur
cur = cur.next
i = i+1
preHead = pre
while i<=n:
nextNode = cur.next
cur.next = pre
pre = cur
cur = nextNode
i = i+1
nextNode = preHead.next
preHead.next = pre
if nextNode:
nextNode.next = cur
return dummpyNode.next链表中的节点每k个一组翻转
将给出的链表中的节点每 k 个一组翻转,返回翻转后的链表
如果链表中的节点数不是 k 的倍数,将最后剩下的节点保持原样
你不能更改节点中的值,只能更改节点本身。
要求空间复杂度 O(1),时间复杂度 O(n)
输入:
{1,2,3,4,5},2
返回值:
{2,1,4,3,5}
套用公式
这道题目和baseline的区别是,是将对整个链表的反转改成每k个一组反转,如果节点数不是k的倍数,剩下的节点保持原样。
先分段来看,假设面对位置1-位置k的链表:
- 原链表的头节点:cur:从head出发,再走k-1步,到达cur
- 原链表的尾节点:pre:cur前面的节点
- 反转循环条件:for i in range(1,k)
- 反转链表的尾节点:先定义tail=head,等反转完后tail.next就是反转链表的尾节点
先看下套公式部分的代码:
pre = None
cur = head
tail = head
i = 1
while i<=k:
nextNode = cur.next
cur.next = pre
pre = cur
cur = nextNode
i = i+1这样,我们就得到了1 位置1-位置k的反转链表。
此时:
- pre:指向反转链表的头节点
- cur:位置k+1的节点,下一段链表的头节点
- tail:反转链表的尾节点
那么,得到位置k+1-位置2k的反转链表,就可以用递归的思路,用tail.next=reverse(cur,k)
需要注意:如果链表中的节点数不是 k 的倍数,将最后剩下的节点保持原样
i = 1
tmp = cur
while i<=k:
if tmp:
tmp = tmp.next
else:
return head
i = i+1代码实现
完整代码:
class ListNode:
def __init__(self, x):
self.val = x
self.next = None
class Solution:
def reverseKGroup(self , head , k ):
# write code here
return self.reverse(head, k )
def reverse(self , head , k ):
pre = None
cur = head
tail = head
i = 1
tmp = cur
while i<=k:
if tmp:
tmp = tmp.next
else:
return head
i = i+1
i = 1
while i<=k:
nextNode = cur.next
cur.next = pre
pre = cur
cur = nextNode
i = i+1
tail.next = self.reverse(cur, k)
return pre好了,抓住几个关键点:
- cur:原链表的头节点,在反转结束时,cur指向pre的下一个节点
- pre:原链表的尾节点,也就是反转后链表的头节点。最终返回的是pre。
- while cur:表示反转循环的条件,这里是判断cur是否为空。也可以根据题目的条件改成其他循环条件
- 反转链表的尾节点,这里的尾节点是None,后面会提到显式指定。
想清楚这几个关键点都是如何定义的,基本题目都可以迎刃而解啦。
总结
以上为个人经验,希望能给大家一个参考,也希望大家多多支持。
若文章对您有帮助,帮忙点个赞!

(微信扫码即可登录,无需注册)