如何在excel插入公式?
方法/步骤
第一步,打开Excel 2007

点击菜单栏的“插入”,再选择“对象”

弹出对话框。将滚动条拖到最下方,选择“Microsoft 公式 3.0”,双击或者点击“确定”。

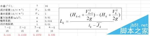
公式的编辑区域出现,及相关的对话框也出现。

可以用键盘输入数字,英文字符。其他数学公式的经常用到的符号,大于小于号,加减号,属于,因为所以,希腊字母,根式,上下标等都可以在这个对话框中找到。

这样再复杂的公式也可以写出来。

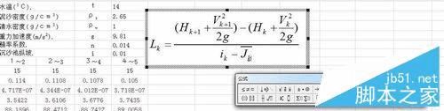
公式写完之后如果还想编辑,就可以双击公式,这样对话框会再弹出来。

注意事项
在使用Excel做比较复杂的计算的时候,最好在旁边写上公式。这样变量之间的关系就一目了然了
以上就是在excel中插入公式方法介绍,大家看明白了吗,希望能对大家有所帮助!
本文地址:http://www.45fan.com/a/question/22636.html
