谈一谈我国国有企业资本结构问题
摘要 当前我国国有企业的发展遇到了前所未有的困难和问题,而其资本结构的比例失衡亦严重影响企业的做大做强,作为出资者的国家投入资本不足以及企业自我积累能力偏低,导致国有企业权益资本不足。为使国有企业始终保持资本结构、投资收益水平的动态协调和相互适应,必须提高企业盈利能力,优化企业债务比率,充分利用资本经营等以优化企业资本结构。本文主要对当前我国国有企业资本结构存在的问题及其原因进行分析,并提出了优化国有企业资本结构的具体措施。
关键词 国有企业 资本结构 结构优化
资本结构是指企业各种长期资本筹集来源的构成和比例关系。通常情况下,企业的资本结构是指长期债务资本和权益资本的比例。当然权益资本内部构成比例也是资本结构研究的重要内容。本文所说的资本结构是指长期债务资本和权益资本各占多大比例。
一、我国国有企业资本结构的现状
当前我国国有企业资本结构的现状是企业的资产负债率过高,股权结构和所有权不合理,非市场化选择,国有企业资本结构总体表现为高投资低收益,具体表现为 “三高”和“三低”,即外源性融资比例高,内源性比例低;间接融资比例高,直接融资比例低;债务性融资比例高,资本性融资比例低。而在较发达的市场经济国家,企业从外部资本市场筹资中有50%以上是来自于证券市场,而在我国国企业中通过资本市场直接融资的比例仅有1%,这种情况既造成了国有资产流失,也恶化了企业的经营条件,致使资产经营和生产经营运行质量不高,甚至造成亏损。另外,由于市场经济体制不成熟,现有的金融机制不足以为企业提供可靠的资金来源,这就有必要让我们分析一下我国企业的资本结构,对现有资本结构进行优化调整,使其逐步达到合理,取得最佳结构效益。
二、国有企业资本结构不合理的原因分析
国有企业资本结构不合理,追其原因主要有:
(一)在现有的企业经营机制下,企业尚未真正树立市场竞争的意识,技术更新和产品创新不力,产品质量也不能满足市场的需要,致使企业缺乏市场竞争力,资金不能及时回收,由此加重了负债经营的恶性循环。
(二)企业的资金来源只有少量是借入资金。企业自身的积累机制严重弱化,不可能通过其自身积累机制或企业集团内部资本市场筹集到可用于企业持续发展和进行新的投资项目的资金。另外,沉重的债务包袱形成的巨大债务使企业经理人员疲于应付各式债务,使得“投资不足”,从而致使企业资金来源极为紧张。
(三)政府行政干预在经济生活中仍然起着很大的作用,造成国有企业经营者在投资筹资决策过程中总有依赖银行贷款的思想。
(四)目前我国各专业银行并不是真正意义上的商业银行,国有银行和国有企业同属于国家所有,缺乏债务约束力,造成严重的债务拖欠。同时银行利率单一,不能随企业财务状况和资本结构的变化而变化,使企业意识不到企业所应承担的债务风险。另外,各银行从自身利益出发对一些资不抵债的企业,宁可挂帐和拖欠,也不愿让企业破产,甚至于为了让这些企业维持下去,继续追加贷款,使企业不良债务不断上升,资本结构严重恶化。
三、我国国有企业资本结构的优化
(一)企业资本结构优化的目标
1.优化的目标:国有企业资本结构优化的目标是找出一个既能发挥负债经营的财务杠杆利益,又能避免过度负债造成的额外财务风险增加的适度负债区间,以满足企业价值最大化、风险最小化的目标,即找出企业的最优资本结构。最优资本结构指企业在一定时期最适宜的条件下,加权平均资金成本最低,企业价值最大化的资本结构,即能达到股东财富最大化的目标。既企业资本结构优化的目标是确定“适度负债区间”。
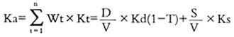
2.“适度负债区间”的确定:企业综合资本成本最低。所谓综合资本成本是指企业负债成本和权益成本的加权平均数,用公式表示为:

Ka——综合资本成本;Wt——各种资本来源所占比重;Kt——各种资本来源的个别成本;D/V——资产负债率;S/V——资产权益率;Kd——企业负债的利息率;Ks——股本成本或企业普通股的要求收益率;T——所得税率。
要估算出企业最优资本结构,可用下面的模型来分析:
V=D+S (1)
其中V为企业市场价值,S为普通股股票市价,D为债务价值。
Ks=KRF+β(Km-KRF) (2)
其中KRF为无风险利率,β为权益乘数,Km为息税前收益率。

根据以上模型,就能计算出在不同资本结构下企业的综合资本结构,其中以企业综合资本成本最小时的资本结构为最优资本结构。
(二)资本结构优化应考虑的主要因素
企业资本结构的优化,其重点应放在帮助企业分析影响资本结构的因素和确定最佳资本结构的判断标准上。通常优化企业筹资结构时可根据个人经验并结合以下几个因素来判断:
1.销售额及其增长速度和稳定程度

式中,其他因素不变的情况下,销售的增长意味着企业税息前收益的增长,从而使息税前收益率大于借款利率。此时,销售收入增长速度较快的企业,其负债比率可以高些,而销售收入增长速度慢的企业,只有在销售好时才能相应调整资本结构,否则企业将承担过高的财务风险。销售收入的稳定程度对于资本结构的调整也有重要影响,如果企业收入稳定,现金流量及增长易于预测,即使企业负债比重较高,也不会遇到过高的财务风险。相反,若企业收入不稳定,其经营风险也较高,现金流量不稳定,负债在企业资本结构中的比例就应低些。
2.企业偿债能力指标的计算分析
通过对企业原有的流动比率、速动比率、负债比率等比率指标的分析,来预测企业的偿债能力,为优化企业的资本结构提供流动性方面的基础资料。
3.行业竞争程度
企业销售收入和利润的高低与企业所处行业的竞争程度紧密相关。若企业所处的行业竞争程度较弱,从而销售呈增长趋势,则表明企业风险较小,可扩大举债。因而在资本结构中,负债比重可以较高。但当市场机制作用加强,行业内竞争加剧,企业利润趋于被分解或降低势态时,则应考虑增加股本资金以避免风险。
4.通过计算筹资无差别点,确定优化企业资本结构的方式
筹资无差别点,是指两个不同筹资方案每股收益相同的息税前利润,即在这一息税前利润水平上,不管采取债务性筹资还是权益性筹资都会得到相同的每股收益额。如果企业实际的息税前利润超过了筹资无差别点,就可以加大负债比重,以便获得更高的每股收益,反之,当实际的息税前利润低于这一点时,采用发行普通股融资,降低负债比率,可减少固定的利息支出,增加每股净收益。
5.其它因素
在优化资本结构过程中我们除了考虑上述因素外,还应考虑其他一些相关因素,如:贷款人和信用等级评定机构的态度、所有者及经营者所持的态度、企业控制权、资产结构、税收等。
(三)我国国有企业资本结构的优化
在分析了优化国有企业资本结构的目标及其因素后,我们就可以看出国有企业资本结构不合理的主要原因是我国历史原因造咸负债比例很高,因此对于其资本结构优化提出以下建议:
1.大力发展企业债券市场,提高国有企业债券的融资比例
我国企业债券发展落后的原因,主要是政府重视国债与股票发行,轻视了企业债券的发行,对企业债券实行额度控制,债券发行规模受到严格限制。目前债券市场的落后已影响到企业的资本结构,政府要淡化或者逐步取消计划规模管理,尽快推行企业债券发行核准制。同时,在企业债券利率方面应给予较大的灵活性,让企业债券利率尽快市场化。
2.加快商业银行的改革步伐,完善银行的信用制度
银行债务的软约束关键在于银行自身未解决治理结构问题,所有者缺位使银行经理获得了较强的内部控制权,而政策性贷款和商业性贷款的鉴别困难又进一步加大了经理人的道德风险。所以在保证国有控股的前提下,应对国有商业银行实行股份制改造,分散国有股权以让其他股东得以行使监督权,在一定程度上解决所有者缺位的困境。另外银行当务之急是要建立一套信用制度,指引贷款方向,根据企业的信用等级和市场导向决定是否放贷。
3.完善国有企业上市公司的治理结构,加速证券市场的市场化改革
公司的治理结构是对公司控制权的合理配置,使公司所有者和经营者之间形成相互制衡的机制,以产生对经营者的有效激励和约束。资本结构的合理与否直接影响这个机制的形成。国有企业上市公司治理结构必须解决这样一些问题,企业未来的治理结构中,是商业银行还是资本市场的各行为主体更适合充当企业主要的外部出资人?应当建立一套怎样的机制,才能使国有商业银行或资本市场有动力和压力来有效选择和监控企业经理人员的经营行为?资本市场的主体是机构投资者还是个人投资者?机构投资者应以投资基金、金融中介还是工业企业为主体?
4.让国有股逐渐流通,逐渐建立完善的资本市场机制
国有股流通是将市场收购兼并,也就是将市场优胜劣汰的功能发挥出来,这样市场有了淘汰机制,形成对上市公司经营者的外部约束力,经营管理者就不敢一味以圈钱为目的送股、配股与增发新股,而得更多地考虑如何提高企业绩效,让广大股东满意。
5.努力提高企业的内部积累能力,以开拓企业内部资本市场融资能力。只有增强企业竞争能力,组建实力雄厚的企业集团,使企业通过自身积累机制或集团内部资本市场筹集资金,改善企业资本结构,才能根本上使国有企业摆脱困境。
6.提高国有企业财务管理水平。国有企业要想提高财务管理水平,必须做到两点:第一,从思想上对财务管理工作给予足够的重视;第二,注重人才的培养。长期以来,财务管理工作在许多国有企业中得不到应有的重视,严重阻碍了财务管理职能的发挥。所以,国有企业要想提高财务管理水平,首先要加强对财务管理工作的重视程度。人才缺乏也是国有企业提高财务管理水平必须解决的一个问题。目前,既懂财务管理,又有丰富财务管理工作经验的人才相对比较缺乏。为此,国有企业应该重视本公司的人才培养,对其进行继续教育,提高其理论水平,使其适应新时期财务管理工作的需要。
参考文献
1.詹森,麦克林.管理行为、代理成本与所有权结构.企业理论;见:陈郁.所有权、控制权与激励.上海:上海三联书店,1976.1~67
2.周双喜.公司治理—国企改革的关键.经济师,2003;(12)
3.张维迎.企业的企业家——契约理论.上海:上海三联书店,1995
4.张志宏.现代企业资本结构研究.中南财经政法大学会计学院
5.刘玉平,高英俊.国有资产管理,2001;(8)
6.伍中信.现代财务经济导论.上海:立信会计出版社,1999
7.李维安.现代公司治理研究.中国人民大学出版社,2001
本文地址:http://www.45fan.com/a/question/27571.html
