45fan.com - 路饭网

搜索: 您的位置主页 > 网络频道 > 阅读资讯:质数与合数的关系介绍

质数与合数的关系介绍

2016-04-08 14:22:12 来源:www.45fan.com 【

质数与合数的关系介绍

我们已学习过合数和质数的一些简单知识,对它们有了初步的了解。
 
我们可以按每个整数的约数个数的不同,将自然数分为三类:
 
第一类:只有一个约数,是“1”。
 
第二类:只有两个约数的,即1和本身的,是质数。
 
第三类:除1和本身还有其它的约数,是合数。
 
从以上的分类方式中,能够清楚地看出两点,①“1”这个数既不是质数,也不是合数。②“质数与合数放在一起并不是全部自然数”。这两点十分重要,运用中容易出现问题。
 
如何判断一个大于1的自然数是质数还是合数呢,下面介绍几种常见的方法。
 
例1 377是质数吗?
 
解:我们用从小到大的一个个质数,逐个试除377,看看有没有能整除377的,即用2,3,5,7,11,13,…去试除。发现13|377而13是1和377以外的约数,所以377不是质数。
 
两千多年前,埃及亚历山大图书馆的管理员埃托色尼就是用这种方法选出质数的:在全体自然数里,先把1去掉,然后再把2的倍数去掉(保留2),再把3的倍数去掉(保留3),……,依次地做下去,最后剩下的就都是质数了。这种方法叫“筛选法”。
 
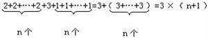
例2 有一个2n+1位整数(n是整数,n≥1)
 
质数与合数的关系介绍
 
解法1:我们观察这个数的数字特征,可以看出,它的各个数位数字和是3的倍数。
 
质数与合数的关系介绍
 
由于n+1是整数,得3|(n+1)×3,所以3是原数的约数,显然3是
质数与合数的关系介绍
 
由上面的解法中,可以看到“整除”知识在判断质数与合数时有很大用处,要想迅速找出一个整数的约数,就要对数的整除特征非常熟练,这对提高筛选的速度大有好处。
 
解法2:还可以把这个数分解一下,把这个数中间的“3”拆开。
 
质数与合数的关系介绍
 
把这个数字拆开的主要目的是能提出公因数做因数分解。这种方法不但能说明一个数是合数,还提供了分解因数的一种方法。
 
对于质数来讲,由于它至今没有统一的数学式子来表示,人们对它的了解仍是很不全面的。已经知道:质数有无限多个(这在初中可以证明),并且一般来说,随着数值越大就越来越稀少。有人统计过五千以内的质数分布情况:
 
1~1000中有168个质数,
 
1001~2000中有135个质数,
 
2001~3000中有127个质数,
 
3001~4000中有120个质数,
 
4001~5000中有119个质数。
 
例3 在三张纸片上分别写上三个最小的连续的奇质数,如果随意从其中取出至少一张组成一个数,其中有几个是质数?将它们写出来。
 
解:三个最小的连续奇质数是指3,5,7。“至少取出一张”的含义是:取一张组成一位数,取两张组成两位数,取三张组成三位数。
 
我们下面分三种情况讨论一下:
 
(1)如果取出了三张:这三个数字的和3+5+7=15是3的倍数,所以任意取出的三位数都不是质数。
 
(2)如果取出了两张:所有可能的两位数有35,37,53,57,73,75六种,其中质数是37,53,73。
 
(3)只取出一张时:3、5、7均为质数。
 
合乎要求的质数是3、5、7、37、53、73。
 
例4 5112的约数有多少个。
 
分析:首先把5112分解为质因数的乘积,进而求出全部约数。
 
解:5112=2×2×2×3×3×71=23×32×711
 
5112的约数都是由2,3,71这些因子构成,约数中,关于2的因子有四种情况:含有三个2、含有两个2、含有一个2和不含有2;关于3的因子有三种情况:含有两个3、含有一个3和不含3;关于71的因子有两种情况:含有一个71和不含有71。
 
根据乘法原理,含有2、3、71的约数的种类有4×3×2=24种,即有24个约数。
 
用我们前面提过的约数个数的公式,也可以很简捷的求出:(3+1)×(2+1)×(1+1)=24
 
例5 在1~300之间,求出:约数个数正好是15个的自然数。
 
解:首先看一下组成这数的质因子的情况是什么样子的。
 
15=1×15=3×5
 
根据约数的个数的公式,这个自然数中只含有两个不同的质因数,不妨设这两个质因数分别是A、B。
 
(1)当15分解为1×15=(0+1)×(14+1),说明这个自然数可以写为A0×B14=B14,即是14个相同质数的乘积,考虑到自然数的范围在1~300之间,设B=2,但是214=16384>300,超出范围,因此这种情况是不可能的。
 
(2)当15分解为3×5=(2+1)(4+1)时,即自然数可记为A2×B4
 
<1>当A=2,B=3时,22×34=324>300(超出)
 
<2>当A=3,B=2时,32×24=144<300(满足条件)
 
<3>当A=5,B=2时,52×24=400>300(超出)
 
由此可以得出,对于任何A>3或B>2的取法都不符合条件。
 
所以,在1~300之间,约数个数是15个的自然数只有144。
 
例6 有一个自然数含有10个不同的约数,但质约数只有2和3。那么,这个自然数最大是几?
 
解:设这个自然数表示为2m×3n(m,n是整数)
 
根据约数个数公式:
 
约数个数10=(m+1)×(n+1)=1×10=2×5
 
这样,m,n,的取值只有四种可能:
 
质数与合数的关系介绍
 
即这个自然数有四种可能的形式:
 
20×39=39,29×30=29,21×34,24×31
 
其中前面两个不合条件应去掉。
 
比较21×34和24×31,显然最大的是21×34=162。
 
例7 房间里有100盏电灯,并且编号号码1,2,3,…,100。每盏灯上有一个拉线开关开始时电灯全都是关的。100位同学由房间外逐个走进去。第一位同学,把编号是1的倍数的灯的开关拉动一下;第二位同学,把编号是2的倍数的灯的开关拉动一下;第三位同学,把编号是3的倍数的灯的开关拉动一下,……,第100位同学,把编号是100的倍数的灯的开关拉动一下。这时,房间里有哪些号码的灯是亮的?
 
分析:根据这个约定,第一个同学应当拉动1,2,3,……100,各个编号的灯,第二个同学应当拉动2,4,6,8,……100,各个编号的灯,第三位同学应当拉动3,6,9,……,99各个编号的灯,第100位同学只拉动100号灯。
 
由于开始时灯是关着的,被拉动偶数次的灯还是不亮,而被拉动奇数次的灯才会亮。灯的编号有多少个约数,它就被该约数号码的所有同学拉动有多少次。看来1~100中每个整数约数的个数是奇数还是偶数,决定了最后的结果。我们可以分析几个数的约数个数,看其奇偶性的规律。
 
质数与合数的关系介绍
 
观察得出:编号为平方数的灯,都有奇数个约数
 
解:由于约数有奇数个的灯,被拉动奇数下,结果才能亮。而平方数的约数个数是奇数。因此,有十盏灯亮的,编号是:
 
1,4,9,16,25,36,49,64,81,100。
 
习题十三
 
1.下列的说法对吗?为什么呢?
 
(1)质数与合数组成了自然数;( )
 
(2)所有偶数都是合数;( )
 
(3)所有奇数都是质数;( )
 
(4)质数一定不是偶数;( )
 
(5)两个质数的和一定是偶数;( )
 
(6)任意两个自然数的积都是合数。( )
 
2.两个相邻的自然数的积是756,这两个数是几?
 
3.写出1155的所有两位的约数。
 
4.2340有多少个约数?
 
5.有四个小学生的年龄相乘是11880,问他们的年龄分别是几岁?
 
6.有一个质数,它加上10是质数,加上14也是质数,把它求出来。
 

本文地址:http://www.45fan.com/a/question/45389.html
Tags: 三讲 质数 合数
编辑:路饭网
关于我们 | 联系我们 | 友情链接 | 网站地图 | Sitemap | App | 返回顶部