45fan.com - 路饭网

搜索: 您的位置主页 > 网络频道 > 阅读资讯:怎么样计算简单几何体的表面积与体积?

怎么样计算简单几何体的表面积与体积?

2016-04-13 13:46:29 来源:www.45fan.com 【

怎么样计算简单几何体的表面积与体积?

一、四种常见几何体的平面展开图
 
1.正方体
 
沿正方体的某些棱将正方体剪开铺平,就可以得到它的平面展开图,这一展开图是由六个全等的正方形组成的,见图6—1。
 
怎么样计算简单几何体的表面积与体积?
 
图6─l只是正方体平面展开图的一种画法,还有别的画法(从略)。
 
2.长方体
 
沿长方体的某些棱将长方体剪开铺平,就可以得到它的平面展开图。这一展开图是六个两两彼此全等的长方形组成的,见图6—2。图6—2只是长方体平面展开图的一种画法,还有别的画法(从略)。
 
怎么样计算简单几何体的表面积与体积?
 
3.(直)圆柱体沿圆柱的一条母线和侧面与上、下底面的交线将圆柱剪开铺平,就得到圆柱体的平面展开图。它由一个长方形和两个全等的圆组成,这个长方形的长是圆柱底面圆的周长,宽是圆柱体的高。这个长方形又叫圆柱的侧面展开图。图6—3就是圆柱的平面展开图。
 
怎么样计算简单几何体的表面积与体积?
 
4.(直)圆锥体
 
沿圆锥体的一条母线和侧面与下底面圆的交线将圆锥体剪开铺平,就得到圆锥的平面展开图。它是由一个半径为圆锥体的母线长,弧长等于圆锥体底面圆的周长的扇形和一个圆组成的,这个扇形又叫圆锥的侧面展开图。具体图形见图6—4。
 
怎么样计算简单几何体的表面积与体积?
 
二、四种常见几何体表面积与体积公式
 
1.长方体
 
长方体的表面积=2×(a×b+b×c+c×a)
 
长方体的体积=a×b×c(这里a、b、c分别表示长方体的长、宽、高)。
 
2.正方体
 
正方体的表面积=6×a2
 
正方体的体积=a3(这里a为正方体的棱长)。
 
3.圆柱体
 
圆柱体的侧面积=2πRh
 
圆柱体的全面积=2πRh+2πR2=2πR(h+R)
 
圆柱体的体积=πR2h(这里R表示圆柱体底面圆的半径,h表示圆柱的高)。
 
4.圆锥体
 
圆锥体的侧面积=πRl
 
圆锥体的全面积=πRl+πR2
 
怎么样计算简单几何体的表面积与体积?
 
母线长与高)。
 
三、例题选讲
 
例1 图6—5中的几何体是一个正方体,图6—6是这个正方体的一个平面展开图,图6—7(a)、(b)、(c)也是这个正方体的平面展开图,但每一展开图上都有四个面上的图案没画出来,请你给补上。
 
分析与解:从图6—5和图6—6中可知:
怎么样计算简单几何体的表面积与体积?
怎么样计算简单几何体的表面积与体积?
怎么样计算简单几何体的表面积与体积?
怎么样计算简单几何体的表面积与体积?
怎么样计算简单几何体的表面积与体积?
怎么样计算简单几何体的表面积与体积?
互相处于相对面的位置上。只要在图6—7
 
怎么样计算简单几何体的表面积与体积?
 
(a)、(b)、(c)三个展开图中,判定谁与谁处在互为对面的位置上,则标有数字的四个空白面上的图案便可以补上。
 
先看图6—7中的(a),仔细观察可知,1与4,3与
怎么样计算简单几何体的表面积与体积?
处在互为对面的位置上。
 
再看图6—7中的(b),同上,1与3,2与
怎么样计算简单几何体的表面积与体积?
处在互为对面的位置上。
 
最后再看图6—7中的(c),同上,1与
怎么样计算简单几何体的表面积与体积?
,2与4处在互为对面的位置上。
 
图6—7(a)、(b)、(c)标有数字的空白面上的图案见图6—8中的(a)、(b)、(c)。
 
怎么样计算简单几何体的表面积与体积?
 
例2 图6—9中的几何体是一个长方体,四边形APQC是长方体的一个截面(即过长方体上四点A、P、Q、C的平面与长方体相交所得到的图形),P、Q分别为棱A1B1、B1C1的中点,请在此长方体的平面展图上,标出线段AC、CQ、QP、PA来。
 
怎么样计算简单几何体的表面积与体积?
 
分析与解:只要能正确画出图6—9中长方体的平面展开图,问题便能迎刃而解。图6—10中的粗实线,就是题目中所要标出的线段AC、CQ、QP、PA。
 
怎么样计算简单几何体的表面积与体积?
 
例3 在图6—11中,M、N是圆柱体的同一条母线上且位于上、下底面上的两点,若从M点绕圆柱体的侧面到达N,沿怎么样的路线路程最短?
 
怎么样计算简单几何体的表面积与体积?
 
分析与解:沿圆柱体的母线MN将圆柱的侧面剪开铺平,得出圆柱的侧面展开图,见图6—12,从M点绕圆柱体的侧面到达N点。实际上是从侧面展开图的长方形的一个顶点M到达不相邻的另一个顶点N。而两点间以线段的长度最短。所以最短路线就是侧面展开图中长方形的一条对角线,见图6—12和图6—13。
 
怎么样计算简单几何体的表面积与体积?
 
例4 图6—14中的几何体是一棱长为4厘米的正方体,若在它的各个面的中心位置上,各打一个直径为2厘米,深为1厘米的圆柱形的孔,求打孔后几何体的表面积是多少(π=3.14)?
 
怎么样计算简单几何体的表面积与体积?
 
分析与解:因为正方体的棱长为2厘米,而孔深只有1厘米,所以正方体没有被打透。这一来打孔后所得几何体的表面积,等于原来正方体的表面积,再加上六个完全一样的圆柱的侧面积、这六个圆柱的高为1厘米,底面圆的半径为1厘米。
 
正方体的表面积为42×6=96(平方厘米)
 
一个圆柱的侧面积为2π×1×1=6.28(平方厘米)
 
几何体的表面积为96+6.28×6=133.68(平方厘米)
 
答:(略)
 
例5 图6—15是由18个边长为1厘米的小正方体拼成的几何体,求此几何体的表面积是多少?
 
分析与解:从图6—15中可以看出,18个小正方体一共摆了三层,第一层2个,第二层7个,因为18-7-2=9,所以第三层摆了9个。另外,上、下两个面的表面积是相同的,同样,前、后;左、右两个面的表面积也是分别相同的。因为小正方体的棱长是1厘米,所以
 
怎么样计算简单几何体的表面积与体积?
 
上面的表面积为12×9=9(平方厘米)
 
前面的表面积为12×8=8(平方厘米)
 
左面的表面积为12×7=7(平方厘米)
 
几何体的表面积为9×2+8×2+7×2=
 
答:(略)
 
例6 图6—16中所示图形,是一个底面直径为20厘米的装有一部分水的圆柱形玻璃杯,水中放着一个底面直径为6厘米,高20厘米的一个圆锥体铅锤,当铅锤从水中取出后,杯里的水将下降几厘米?(π=3.14)
 
怎么样计算简单几何体的表面积与体积?
 
分析与解:因为玻璃杯是圆柱形的,所以铅锤取出后,水面下降部分实际是一个小圆柱,这个圆柱的底面与玻璃杯的底面一样,是一直径为20厘米的圆,它的体积正好等于圆锥体铅锤的体积,这个小圆柱的高就是水面下降的高度。
 
因为圆锥形铅锤的体积为
 
怎么样计算简单几何体的表面积与体积?
 
设水面下降的高度为x,则小圆柱的体积为x(20÷2)2×x=100πx(立方厘米)
 
所以有下列方程:
 
60π=100πx,解此方程得:
 
x=0.6(厘米)
 
答:铅锤取出后,杯中水面下降了0.6厘米。
 
例7横截面直径为2分米的一根圆钢,截成两段后,两段表面积的和为75.36平方分米,求原来那根圆钢的体积是多少(π=3.14)?
 
分析与解:根据圆柱体的体积公式,体积=底面积×高。假设圆钢长为x,因为将圆钢截成两段后,两段表面积的和,等于圆钢的侧面积加上四个底面圆的面积,所以有下面式子:
 
2π×(2÷2)×x+4π×(2÷2)2
 
=2πx+4π
 
根据题目中给出的已知条件,可得下面方程:
 
2πx+4π=75.36
 
解方程:
 
怎么样计算简单几何体的表面积与体积?
 
圆钢的体积为π×(2÷2)2×10≈31.4(立方分米)
 
答:(略)。
 
例8 一个圆锥的侧面展开图是一个半径为10厘米、圆心角为216°的扇形,求此圆锥的体积是多少(π=3.14)?
 
分析与解:要想求出圆锥的体积,就要先求出它的底面圆的半径与高。按题意画图6—17。在图6—17中,字母R、h分别表示底面圆的半径和圆锥体的高,根据弧长公式:弧长=2лR×n÷360(这里R是圆的半径,n为弧所对圆心角的度数),便可求出弧长来。这个弧长就是底面圆的周长,再利用周长公式,就可求出底面圆的半径R。另外从图6—17中可以看出:圆锥的高、母线、底面圆的半径正好构成一个直角三角形,利用勾股定理便可求出圆锥的高h。
 
怎么样计算简单几何体的表面积与体积?
 
怎么样计算简单几何体的表面积与体积?
 
所以 2πR=12π,得R=6(厘米)
 
在直角三角形中,根据勾股定理有:
 
102=h2+R2,即h2=102-R2
 
=100-36=64,h=8(厘米)
 
怎么样计算简单几何体的表面积与体积?
 
答:(略)
 
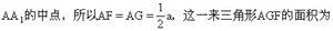
例9 图6—18中的图形是一个正方体,H、G、F分别是棱AB、AD、AA1的中点。现在沿三角形GFH所在平面锯掉正方体的一个角,问锯掉的这块的体积是原正方体体积的几分之几?
 
怎么样计算简单几何体的表面积与体积?
 
分析与解:因为锯掉的是立方体的一个角,所以HA与AG、AF都垂直。即HA垂直于三角形AGF所在的立方体的上底面,实际上锯掉的这个角,是以三角形AGF为底面,H为顶点的一个三棱锥,如果我们假设正方体的棱长为a,则正方体的体积为a3。
 
三棱锥的底面是直角三角形AGF,而角FAG为90°,G、F又分别为AD、
怎么样计算简单几何体的表面积与体积?
怎么样计算简单几何体的表面积与体积?
 
而三棱锥的体积等于底面积与高的乘积再除以3,所以锯掉的那一角的体积为
 
怎么样计算简单几何体的表面积与体积?
 
怎么样计算简单几何体的表面积与体积?
 
怎么样计算简单几何体的表面积与体积?
 
答:(略)
 
例10 图6—19是一个里面装有水的三棱柱封闭容器,图6—20是这个三棱柱的平面展开图。当以A面作为底面放在桌面上时,水高2厘米,如果以B面与C面分别作为底面放在桌面上时,水面高各为多少厘米?
 
分析与解:我们先求以A面作为底面放在桌面上时容器内的水的体积。此时水的体积,与以梯形FJQP为底面、JI为高的棱柱的体积相等。棱柱的体积等于底面积乘以高,从图6—20可以看出,此棱柱的高JI为12厘米,梯形FJQP的下底FJ为3厘米,高QJ为2厘米。因为PTJQ是个长方形,所以QJ=PT=2厘米,而Q点是GJ的中点,PQ平行于FJ,这样可以推算出QP为FJ的一半,为1.5厘米,这一来梯形FJQP的面积为
怎么样计算简单几何体的表面积与体积?
 
怎么样计算简单几何体的表面积与体积?
 
怎么样计算简单几何体的表面积与体积?
 
以C面为底面时,水的体积与以C(即三解形EHI)为底面,高为某数值
怎么样计算简单几何体的表面积与体积?
 
此时水面的高度为:
 
54÷6=9(厘米)
 
以B面作为底面时,原来以A面为底面时不装水的那一部分,现在应装水,原来装水的某一部分现在应空出来,下面来讨论这两份之间的数量关系。
 
为方便起见,我们把C面适当放大成图6—21,在图6—21中,因为PQ平行于FJ,PT垂直于FJ,所以JQPT是一长方图6ZI形,故JQ、PT、QG的长都是2厘米,TJ、PQ的长为1.5厘米,因为FJ长为3厘米,所以FT的长也为1.5厘米,这一来三角形FPT与PQG的形状一样,面积相等。这便说明原来以三角形PFT为底面,JI为高的装水的棱柱的体积,与现在以三角形PQG为底面,JI为高装水的棱柱的体积是相等的。所以以B面为底面时,水面的高度等于PQ的长度,即水面高为1.5厘米。
 
答:(略)
 
怎么样计算简单几何体的表面积与体积?
 
习题六
 
1.图6—22是一个正方体,一小虫从顶点A1出发,沿正方体的表面爬到顶点C,沿什么样的路线走距离最短,(请在展开图上表示出来)?
 
怎么样计算简单几何体的表面积与体积?
 
2.用厚1厘米的木板,钉成一个小信箱,从外面量得这个长方体形信箱的长、宽、高如图6—23所示之尺寸。在信箱的前面开了一个长20厘米、宽5厘米的投信孔,问做成这个小信箱所用木材的实际面积是多少平方厘米?
 
3.图6—24中的图形,是一个棱长为6厘米的正方体,切去了一个长方体(尺寸见图),求剩余几何体的表面是多少?
 
4.圆锥形塔尖,它的侧面积是62.8平方米,侧面展开图中扇形的圆心角为288度,其底面圆的半径是4米,求塔尖的高是多少(π=3.14)?
 
5.一车工用一段长20厘米、直径为6厘米的圆钢,车一个如图6—25所示的零件,求这个零件的表面积是多少(π=3.14)?
 
怎么样计算简单几何体的表面积与体积?
 
6.长方体的体积是12立方厘米,有两个侧面的面积分别是3平方厘米和12平方厘米,另一个侧面的面积是多少?
 
7.图6—26中的几何体,是将长方体挖去一个圆柱体一半得到的,求图中几何体的体积是多少(π=3.14)?
 
怎么样计算简单几何体的表面积与体积?
 
8.一块长24分米的长方形铁皮,在它的四个角上都剪去一边长为3分米的正方形,然后将它焊成一个无盖的盒子,已知盒子的容积是486立方分米,问这块铁皮原来宽多少?
 
9.一块方木料,横截面是正方形,这个正方形的边长为1.8分米,木料长5分米,现在要把它加工成尽可能大的圆柱体,求这块方木料的利用率是多少?(π=3.14)?
 
10.把一块长30厘米、宽20厘米、高5厘米的长方形铝锭,和一底面周长为37.68厘米、高30厘米的圆柱形铅块,熔铸成一底面圆半径为13厘米的圆锥体铝块,求这个圆锥体铝块的高是多少(л=3.14)?
 

本文地址:http://www.45fan.com/a/question/45930.html
Tags: 简单 表面积 体积
编辑:路饭网
关于我们 | 联系我们 | 友情链接 | 网站地图 | Sitemap | App | 返回顶部