45fan.com - 路饭网

搜索: 您的位置主页 > 网络频道 > 阅读资讯:分数的拆分问题的详细介绍及解说

分数的拆分问题的详细介绍及解说

2016-05-05 04:47:00 来源:www.45fan.com 【

分数的拆分问题的详细介绍及解说

一、分数拆分的初步知识
 
我们已经学过分数的加法运算,反过来你能把一个分数拆成几个分数的和的形式吗?我们先看下面的例题:
 
分数的拆分问题的详细介绍及解说
 
分数的拆分问题的详细介绍及解说
分数的拆分问题的详细介绍及解说
 
形式,叫做分数的拆分。
 
怎样才能把一个分数拆成两个分数和的形式呢?我们仍以
 
分数的拆分问题的详细介绍及解说
 
分数的拆分问题的详细介绍及解说
 
通过上题可以看出,拆分主要有以下几个步骤:
 
分数的拆分问题的详细介绍及解说
 
叫做扩分。
 
注意:为什么要乘以5?因为5正好是分母6的两个质因数的和。
 
③把分子拆成分母的两个质因数的和,再拆成两个分数的和。即:
 
分数的拆分问题的详细介绍及解说
 
④把拆开后的两个分数约分,化成最简分数。
 
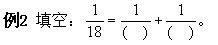
例1 填空:
 
分数的拆分问题的详细介绍及解说
 
分数的拆分问题的详细介绍及解说
 
事实上,我们把分母分解质因数后,可以得到这个分母的不同的约数,只要把分子、分母都乘以这个分母的任意两个约数的和,就可以把一个分数拆成两个分数的和。
 
分数的拆分问题的详细介绍及解说
 
解:18分解质因数后共有六个约数:1、2、3、6、9、18,取不同的两个约数的和,可以得到不同的解。如:
 
分数的拆分问题的详细介绍及解说
 
……
 
可以看出,由于每次所选用的两个约数不同,所得的解也不相同。但是当选用的四个约数成比例时,它们的解就相同。如:选用1和2,3和6,9和18;或选用2和3;6和9时,解就相同。
 
二、把一个分数拆成几个分数的和
 
以上拆分的方法同样也适用于把一个分数拆成三个或三个以上分数的和。
 
分数的拆分问题的详细介绍及解说
 
解:18的约数有1、2、3、6、9、18。可以任意取其中三个约数,得到不同的解。
 
分数的拆分问题的详细介绍及解说
 
……答案不只一种。
 
三、把一个分数拆成两个分数的差
 
能不能把一个分数拆成两个分数差的形式呢?观察下面的分数运算,看左右两边有什么关系。
 
分数的拆分问题的详细介绍及解说
 
分数的拆分问题的详细介绍及解说
 
分数的拆分问题的详细介绍及解说
 
分数的拆分问题的详细介绍及解说
 
分数的拆分问题的详细介绍及解说
 
观察下面几个分数的运算,左右两边有什么关系。
 
分数的拆分问题的详细介绍及解说
 
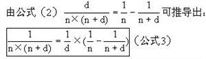
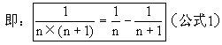
以上每个分数的分子d都是分母中两个因数的差。当n、n+d,都是自然
分数的拆分问题的详细介绍及解说
 
分数的拆分问题的详细介绍及解说
 
当d=1时,公式(2)则转化为公式(1)。利用公式(2)可以把一些分数拆成两个分数差的形式。
 
例5把下面各分数写成两个分数差的形式。
 
分数的拆分问题的详细介绍及解说
 
分数的拆分问题的详细介绍及解说
 
分数的拆分问题的详细介绍及解说
 
分数的拆分问题的详细介绍及解说
 
观察下面等式,左右两边有什么关系。
 
分数的拆分问题的详细介绍及解说
 
通过上面算式,可以得出这样的结论:
 
分数的拆分问题的详细介绍及解说
 
分数的拆分问题的详细介绍及解说
 
由此可知,一个分数可以根据需要拆成两个或若干个分数的和或两个分数的差的形式。
 
四、拆分方法在分数加法运算中的应用
 
分数的拆分问题的详细介绍及解说
 
分数的拆分问题的详细介绍及解说
 
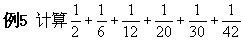
例6 计算:
 
分数的拆分问题的详细介绍及解说
 
分数的拆分问题的详细介绍及解说
 
分数的拆分问题的详细介绍及解说
 
解:由公式(2)
 
分数的拆分问题的详细介绍及解说
 
分数的拆分问题的详细介绍及解说
 
解:由公式(3)
 
分数的拆分问题的详细介绍及解说
 
例9 计算:
 
分数的拆分问题的详细介绍及解说
 
解:由等差数列求和公式
 
分数的拆分问题的详细介绍及解说
 
由此,本题中的各个分数可以拆分为:
 
分数的拆分问题的详细介绍及解说
 
因此,本题解法如下:
 
分数的拆分问题的详细介绍及解说
 
分数的拆分问题的详细介绍及解说
 
分数的拆分问题的详细介绍及解说
 
分数的拆分问题的详细介绍及解说
 
例11 计算
 
分数的拆分问题的详细介绍及解说
 
解:根据公式(4)
 
分数的拆分问题的详细介绍及解说
 
分数的拆分问题的详细介绍及解说
 
解:先把同分母的分数相加,看看有什么规律。
 
分数的拆分问题的详细介绍及解说
 
上面三个算式表明,分母是2、3、4的如上面这样的算式,它们的和分别是2、3、4。由此可以推出,分母为K的如上面的算式,所有的分数的和等于K。所以,
 
原式=2+3+4=9
 
例13 计算
 
分数的拆分问题的详细介绍及解说
 
解:可以利用例12所得出的结论以及等差数列求和公式进行计算。
 
原式=1+2+3+……+1991
 
=(1+1991)×1991÷2=1983036
 
习题五
 
1.在下列各式的括号内填上适当的整数(1—3题)。
 
分数的拆分问题的详细介绍及解说
 
分数的拆分问题的详细介绍及解说
 
分数的拆分问题的详细介绍及解说
 
4.把下面各分数写成两个分数差的形式。
 
分数的拆分问题的详细介绍及解说
 
5.先观察,找出规律。
 
分数的拆分问题的详细介绍及解说
 
然后在( )内填上适当的整数
 
分数的拆分问题的详细介绍及解说
 
(要求分母都不同,且尽可能小)
 

本文地址:http://www.45fan.com/a/question/48390.html
Tags: 问题 初步 五讲
编辑:路饭网
关于我们 | 联系我们 | 友情链接 | 网站地图 | Sitemap | App | 返回顶部