快速排序算法的原理有哪些
快速排序是一种基于分治技术的重要排序算法。不像归并排序是按照元素在数组中的位置对它们进行划分,快速排序按照元素的值对它们进行划分。具体来说,它对给定数组中的元素进行重新排列,以得到一个快速排序的分区。在一个分区中,所有在s下标之前的元素都小于等于A[s],所有在s下标之后的元素都大于等于A[s]。

显然,建立了一个分区以后,A[s]已经位于它在有序数组中的最终位置,接下来我们可以继续对A[s]前和A[s]后的子数组分别进行排序(使用同样的方法)。
为了排序一个数组A的全部元素,初始调用的是QUICKSORT(A,1,A.length)。
下面的算法对A[p..r]进行分区(先伪代码一下、领会意思)。
PARTITION(A,p,r) x = A[r] i = p - 1 for j = p to r - 1 if A[j] ≤ x i = i + 1 exchange A[i] with A[j] exchange A[i+1] with A[r] return i+1
快速排序算法的效率:
在最优情况下,键值比较的次数Cbest(n)满足下面的递推式:
当n>1时,Cbest(n)=2Cbest(n/2)+n,Cbest(1)=0
根据主定理,Cbest(n)∈Θ(nlogn);对于n=2k的情况求得Cbest(n) = nlog(n)。
在最差的情况下,所有的分裂点都趋于极端:两个子数组有一个为空,而另一个子数组仅仅比被分区的数组少一个元素。具体来说,这种令人遗憾的情况会发生在升序的数组上,也就是说输入的数组已经被排过序了。所以,在进行了n+1次比较之后建立了分区,并且将A[0]和它本身进行了交换以后,快速排序算法还会对严格递增的数组A[1..n-1]进行排序。对规模减小了的严格递增数组的排序会一直继续到最后一个子数组A[n-2..n-1]。这种情况下,键值比较的总次数应该等于:
Cworst(n)=(n+1)+n+...+3=(n+1)(n+2)/2-3∈Θ(n2)
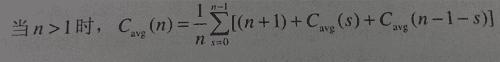
现在,轮到讨论快速排序在平均情况下的效率了。对于大小为n的随机排列的数组,快速排序的平均键值比较次数记为Cavg(n)。假设分区的分裂点s(0≤s≤n-1)位于每个位置的概率都是1/n,我们得到下面的递推关系式:

Cavg(0)=0,Cavg(1)=0
Cavg(n)≈2nlnn≈1.38nlogn
因此,快速排序在平均情况下,仅比最优情况多执行38%的比较操作。此外,它的最内层循环效率非常高,使得在处理随机排列的数组时,速度要比归并排序快。
以下是快速排序的Go代码:
func QuickSort(slice_arg []int, iLeft int, iRight int) {
if iLeft < iRight {
var iTmpVal = slice_arg[iLeft]
var i, j = iLeft, iRight
for i < j {
fmt.Println("i,j = ", i, j)
for i < j && slice_arg[j] > iTmpVal {
j--
}
if i < j {
slice_arg[i] = slice_arg[j]
i++
}
for i < j && slice_arg[i] < iTmpVal {
i++
}
if i < j {
slice_arg[j] = slice_arg[i]
j--
}
}
slice_arg[i] = iTmpVal
QuickSort(slice_arg, iLeft, i-1)
QuickSort(slice_arg, j+1, iRight)
}
}
本文地址:http://www.45fan.com/a/question/48870.html
