45fan.com - 路饭网

搜索: 您的位置主页 > 网络频道 > 阅读资讯:怎么样答小学数学解题?

怎么样答小学数学解题?

2016-01-18 04:38:20 来源:www.45fan.com 【

怎么样答小学数学解题?

23.想和不变
 
怎么样答小学数学解题?
 
无论某数是多少,原分数的分子与分母的和7+11=18是不变的。
 
而新分数的分子与分母的和为1+2=3,要保持原和不变,必同时扩大18÷3=6(倍)。
 
怎么样答小学数学解题?
 
某数为7-6=1或12-11=1。
 
24.想和与差
 
怎么样答小学数学解题?
 
怎么样答小学数学解题?
 
怎么样答小学数学解题?
 
算理,原式相当于
 
怎么样答小学数学解题?
 
怎么样答小学数学解题?
求这个分数。
 
怎么样答小学数学解题?
 
25.想差不变
 
怎么样答小学数学解题?
 
分子与分母的差41-35=6是不变的。新分数的此差是8-7=1,要保持原差不变,新分数的分子和分母需同时扩大6÷1=6(倍)。
 
怎么样答小学数学解题?
 
怎么样答小学数学解题?
 
某数为42-35=7,或48-41=7。
 
与上例同理。23-11=12,3-1=2,12÷2=6,
 
怎么样答小学数学解题?
 
某数为11-6=5或23-18=5。
 
怎么样答小学数学解题?
 
分子加上3变成1,说明原分数的分子比分母小3。当分母加上2后,分子比分母应小3+2=5。
 
怎么样答小学数学解题?
 
怎么样答小学数学解题?
 
怎么样答小学数学解题?
 
26.想差的1/2
 
对于任意分母大于2的同分母最简真分数来说,其元素的个数一定是偶数,和为这个偶数的一半。分母减去所有非最简真分数(包括分子和分母相同的这个假分数)的个数,差就是这个偶数。
 
例1 求分母是12的所有最简真分数的和。
 
由12中2的倍数有6个,3的倍数有4个,(2×3)的倍数2个,知所求数是
 
怎么样答小学数学解题?
 
例2 分母是105的,最简真分数的和是多少?
 
怎么样答小学数学解题?
倍数15个,(3×5)、(5×7)、(3×7)的倍数分别是7、3、5个,(3×5×7)的倍数1个。知
 
105-[(35+21+15)-(3+5+7)+1]=48,
 
48÷2=24。
 
27.借助加减恒等式
 
怎么样答小学数学解题?
个数。
 
怎么样答小学数学解题?
 
怎么样答小学数学解题?
 
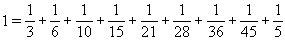
若从中找出和为1的9个分数,将上式两边同乘以2,得
 
怎么样答小学数学解题?
 
这九个分数是
 
怎么样答小学数学解题?
 

本文地址:http://www.45fan.com/a/question/35734.html
Tags: 数学 小学 解题
编辑:路饭网
关于我们 | 联系我们 | 友情链接 | 网站地图 | Sitemap | App | 返回顶部